首頁
>
智庫建設
>
中咨視界
中咨視界
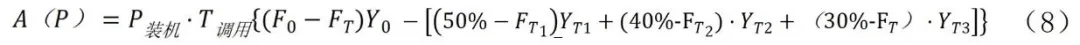
郭鳳鳳 等 | ?煤電靈活性改造經濟效益評價研究
發布日期:2024-04-22
信息來源:中咨研究
訪問次數:
字號:[
大
中
小
]
分享:
相關鏈接
反駁五大誤解 中國經濟仍在崛起
2024-04-18
胡鉑 | 推進我國世界級機場群高...
2024-03-29
評估中國在機器人行業的創新程度
2024-03-21
周榮 郭建斌 鄭立 周茜 | 推...
2024-02-05
?